来源:教务办公室 编辑:宣传信息事务办公室 发布时间:2022-08-03
纬来体育官方网站 2022年全国优秀大学生夏令营优秀营员名单
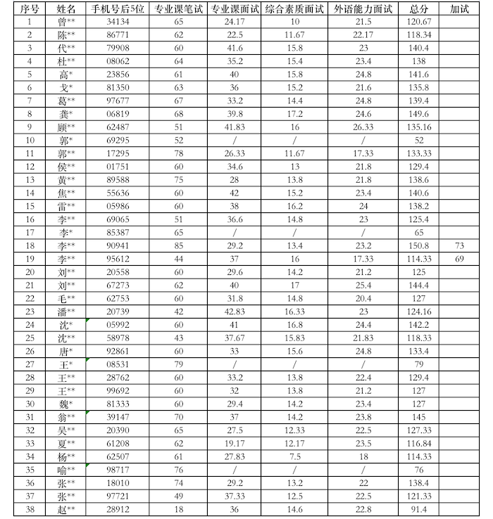
(名单按姓氏拼音排序,不区分专业方向)

纬来体育官方网站 2022年全国优秀大学生夏令营优秀营员备选名单
(名单按姓氏拼音排序,不区分专业方向)

纬来体育官方网站 2022年全国优秀大学生夏令营其他营员名单
(名单按姓氏拼音排序,不区分专业方向)

官方微信
纬来体育官方网站-纬来体育Videoland Sports
86-10-82509171
[email protected]
©纬来体育官方网站-纬来体育Videoland Sports 版权所有 京ICP备05066828号-1